機械密封摩擦熱與循環(沖洗)量
機械密封摩擦熱與循環(沖洗)量Qx:
機械密封的端面密封副及輔助密封元件的溫度在工作條件下不能超過其耐熱限。為了保證機械密封正常工作,單純靠選用耐髙溫材料、導熱性好的密封副材料和合理的結構也不一定會帶來預期的效果。何況對于潤滑性差和易揮發的液體來說還會出現液膜氣化等問題,這就不得不采取沖洗措施。在有的場合下*****不是很高,也可以采取沖洗措施來改善工作環境,延長密封的使用壽命。一般說來,當
,必須采用沖洗措施。衛生泵專用機械密封
除高速和高黏度運轉的機械密封外,可忽略攬拌熱。在忽略攪拌熱的前提下,機械密封的摩擦熱Qf在數值上等于端面密封副的摩擦功耗,同時也等于循環(沖洗)液帶走的熱量。即
![]()
在確定機械密封的沖洗量時應考慮密封端面摩擦熱和旋轉元件的攪拌熱,但由于攪拌熱不易確定,通常按端面摩擦熱,考慮合適的摩擦系數來確定。即沖洗量
![]()
式中
摩擦系數,考慮安全起見,取![]()
被密封介質或沖洗液的密度,kg/L;
被密封介質或沖洗液的比熱容,J/(kg·K);
密封式或密封箱出入口的循環(沖洗)液的溫差,K。
公式(1-27a)適用于密封端面處于干摩擦狀態〈啟動及停止時〉,而接觸式機械密封大多處于混合摩擦狀態,此時用Pc代替Pg即可
![]()
對于淸水,
;對于油品,
;對于液化氣,
;在密封部位壓力接近蒸汽壓,密封水時,
;根據經驗最大
。
對于易揮發的液體,為了保證液膜潤滑,必須考慮由于沖洗液溫度容易上升,引起蒸汽壓上升的問題。
通過一例題來說明循環(沖洗)量Qx的計算過程。
例題1-2現有一冷凝泵,被密封介質為水,密封裝置采用內流接觸式機械密封。已知水溫為
,旋轉軸的轉速為
,載荷系數為0.7,膜壓系數
,試分別確定該密封處于干摩擦、混合摩擦狀態下的沖洗量。
解:由題意知
,
。
(1)該密封處于干摩擦狀態時
由式(1-12b)可知密封面比載荷

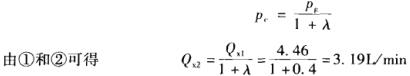
(2)該密封處于混合摩擦狀態時
由密封端面平衡可推得
聯立得

本文源自http://www.hd22020-3.com/news/541.html,轉載請注明出處。
(責任編輯:機械密封http://www.hd22020-3.com)
上一篇:機械密封的摩擦功率消耗 下一篇:機械密封的密封端面溫升
- 上一篇:機械密封的摩擦功率消耗
- 下一篇:機械密封的密封端面溫升
機械密封熱門文章
機械密封文章推薦
最新資訊
- 2023-07-04· 機械密封的保養與維修方法
- 2023-06-30· 機械密封的保養與維修方法
- 2023-06-29· 機械密封的運行原理及其特點
- 2023-06-29· 機械密封的密封材料與密封性
- 2023-06-28· 機械密封的安裝及維護方法
- 2023-06-26· 機械密封的密封原理及其應用
聯系我們
浙江生產基地:浙江嘉善環城東路硅谷開發區(赤盾科技園)
嘉興銷售及技術支持中心:嘉興市環北西路經濟開發區
國內24小時銷售人員電話:15990310020
國內24小時技術支持:13917573091
電子郵件:1050760236@qq.com
jxchishidun@163.com
即時聊天工具:QQ: 1050760236
微信:15990310020
網址:www.hd22020-3.com



